92. 反转链表 II Medium
给你单链表的头指针 head 和两个整数 left 和 right ,其中 left <= right 。请你反转从位置 left 到位置 right 的链表节点,返回 反转后的链表 。

示例 1:
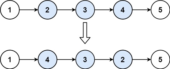
输入:head = [1,2,3,4,5], left = 2, right = 4
输出:[1,4,3,2,5]
示例 2:
输入:head = [5], left = 1, right = 1
输出:[5]
解题思路
输入: 一个链表 head, 两个整数 left right
输出: 将链表中 [left, right] 节点反转,返回反转后的链表
本题属于链表反转类问题。
... p0 -> left ... -> right -> right + 1 ... => ... p0 -> right ... -> left -> right + 1 ...
我们首先要找到反转的起点前一个节点 prev
再将 [left, right] 内的节点反转,要记录反转前的最后一个节点 reserve_pre 以及反转前的最后一个节点的下一个节点
反转完毕后遍历的节点 curr 应该 right + 1 处,prev 下一个节点成了反转后的最后一个节点,要指向反转前的最后一个节点的下一个节点 prev.next.next = curr
最后再将 prev 指向反转前的最后一个节点
代码实现
python
class Solution:
def reverseBetween(self, head: Optional[ListNode], left: int, right: int) -> Optional[ListNode]:
# 创建哑节点 dummy,统一处理头节点反转的情况
dummy = ListNode(0)
dummy.next = head
# 第一步:找到 left 前一个节点(即反转段的前驱)
prev = dummy
for _ in range(left - 1):
prev = prev.next # 移动到 left 的前一个节点
# 第二步:开始反转 left 到 right 之间的链表节点
reverse_prev = None
curr = prev.next # 从第 left 个节点开始反转
for _ in range(right - left + 1):
next_temp = curr.next
curr.next = reverse_prev
reverse_prev = curr
curr = next_temp
# 第三步:重新接回链表
# prev.next 是原 left 节点,现在是反转段的尾部,它应该连接到反转后面那段(curr)
prev.next.next = curr
# prev.next 改为新的反转头(即 reverse_prev)
prev.next = reverse_prev
return dummy.next # 返回真正的头节点javascript
var reverseBetween = function(head, left, right) {
const dummy = new ListNode(0, head);
let p0 = dummy;
for (let i = 0; i < left - 1; i++) {
p0 = p0.next;
}
let prev = null;
let curr = p0.next;
for (let j = left; j < right + 1; j++) {
const nxt = curr.next;
curr.next = prev;
prev = curr;
curr = nxt;
}
p0.next.next = curr;
p0.next = prev;
return dummy.next;
};复杂度分析
时间复杂度:O(n)
空间复杂度:O(1)