111. 二叉树的最小深度 Easy
给定一个二叉树,找出其最小深度。
最小深度是从根节点到最近叶子节点的最短路径上的节点数量。
说明:叶子节点是指没有子节点的节点。

示例 1:
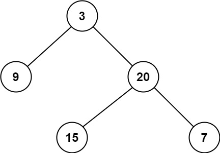
输入:root = [3,9,20,null,null,15,7]
输出:2
示例 2:
输入:root = [2,null,3,null,4,null,5,null,6]
输出:5
解题思路
输入: 一个二叉树的根节点 root。
输出: 返回最小深度
本题属于**广度优先搜索(BFS)**问题。
初始化:
- 若
root为空,返回 0(空树的深度为 0) - 初始化队列
queue = [(root, 1)],其中保存的是节点和其对应的当前深度
BFS 遍历:
- 每次从队列中取出一个节点
node和它的depth - 如果
node是 叶子节点(没有左右孩子),立即返回当前深度depth - 否则,将它的左右子节点(若存在)加入队列,深度加一
代码实现
python
class Solution:
def minDepth(self, root: Optional[TreeNode]) -> int:
# 如果根节点为空,说明树是空的,最小深度为 0
if not root:
return 0
# 使用 BFS(广度优先搜索)队列,初始化放入根节点和当前深度 1
queue = [(root, 1)]
# 开始逐层遍历二叉树
while queue:
node, depth = queue.pop(0) # 取出当前节点及其深度
# 如果当前节点是叶子节点(没有左右子节点),说明找到了最浅的一条路径
if not node.left and not node.right:
return depth # 返回当前深度作为最小深度
# 如果左子节点存在,加入队列,深度 +1
if node.left:
queue.append((node.left, depth + 1))
# 如果右子节点存在,加入队列,深度 +1
if node.right:
queue.append((node.right, depth + 1))javascript
const minDepth = function(root) {
// 如果根节点为空,说明树是空的,最小深度为 0
if (!root) return 0;
// 使用 BFS(广度优先搜索)队列,初始化放入根节点和当前深度 1
const queue = [[root, 1]];
// 开始逐层遍历二叉树
while (queue.length) {
// 取出当前节点及其深度
const [node, depth] = queue.shift();
// 如果当前节点是叶子节点(没有左右子节点),说明找到了最浅的一条路径
if (!node.left && !node.right)
return depth;
// 如果左子节点存在,加入队列,深度 +1
if (node.left)
queue.push([node.left, depth + 1])
// 如果右子节点存在,加入队列,深度 +1
if (node.right)
queue.push([node.right, depth + 1])
}
};复杂度分析
时间复杂度:O(n)
空间复杂度:O(h)