101. 对称二叉树 Easy
给你一个二叉树的根节点 root , 检查它是否轴对称。
示例 1:
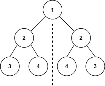
输入:root = [1,2,2,3,4,4,3]
输出:true

示例 2:
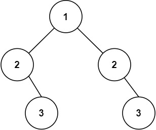
输入:root = [1,2,2,null,3,null,3]
输出:false

解题思路
输入:一个二叉树的根节点 root
输出:判断这棵树是否对称
本题属于自底向上 DFS问题。
因为只有一棵树所以根节点一定相同。
我们可以将问题拆解成:递归地比较左右子树的对称位置,判断它们是否相等。
写法与 100 题一致,区别在于要将 对称 比较。
具体步骤:
- 如果其中一个节点为空,只有两者都为空才返回
True(否则为False)。 - 如果当前两个节点的值不相同,直接返回
False。 - 递归比较左右子树对称位置是否相同。
- 如果所有对称位置的值和结构都相同,则两棵树相同。
代码实现
python
class Solution:
def isSymmetric(self, root: Optional[TreeNode]) -> bool:
# 这题可以看成是判断左子树是否和右子树相同来解
return self.isSameTree(root.left, root.right)
# 与 100 题相似,判断是否是相同的树
def isSameTree(self, p, q):
if not p or not q:
return p is q
if p.val != q.val:
return False
return self.isSameTree(p.left, q.right) and self.isSameTree(p.right, q.left)javascript
/**
* @param {TreeNode} root
* @return {boolean}
*/
var isSymmetric = function(root) {
function isSameTree(p, q) {
if (p == null || q == null) return p == q;
if (p.val !== q.val) return false;
return isSameTree(p.left, q.right) && isSameTree(p.right, q.left);
}
return isSameTree(root.left, root.right);
};复杂度分析
时间复杂度:O(n)
空间复杂度:O(h)