328. 奇偶链表 Medium
给定单链表的头节点 head ,将所有索引为奇数的节点和索引为偶数的节点分别组合在一起,然后返回重新排序的列表。
第一个节点的索引被认为是 奇数 , 第二个节点的索引为 偶数 ,以此类推。
请注意,偶数组和奇数组内部的相对顺序应该与输入时保持一致。
你必须在 O(1) 的额外空间复杂度和 O(n) 的时间复杂度下解决这个问题。

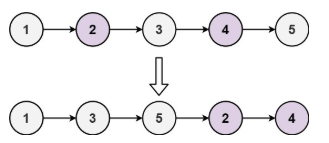
示例 1:
输入: head = [1,2,3,4,5] 输出: [1,3,5,2,4]

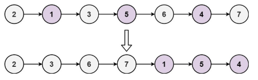
示例 2:
输入: head = [2,1,3,5,6,4,7] 输出: [2,3,6,7,1,5,4]
解题思路
输入: 一个链表 head
输出: 将链表中奇数索引节点排在前面,偶数索引节点排在后面,保持相对顺序不变
本题属于链表插入与重排类问题,目标是将原链表重新组织为“奇数位节点 + 偶数位节点”的组合。
处理流程如下:
特殊情况处理: 若链表为空,或只有一个节点,直接返回原链表。
初始化三个指针:
odd指向当前奇数位节点(初始化为head);even指向当前偶数位节点(初始化为head.next);even_head保存偶数链表的头部(后续用于拼接)。
交叉重排链表: 从偶数节点开始遍历,直到遍历结束(
even或even.next为 null):- 令
odd.next = even.next,跳过当前偶数节点,连接到下一个奇数节点; - 将
odd前移到新的奇数节点; - 再令
even.next = odd.next,跳过当前奇数节点,连接到下一个偶数节点; - 将
even前移到新的偶数节点。
- 令
拼接两个子链表: 处理完所有节点后,将奇数链表尾部连接上偶数链表头部,即
odd.next = even_head。返回结果链表头部: 最终返回原始的
head,此时它已指向正确排列后的链表。
代码实现
python
class Solution:
def oddEvenList(self, head: Optional[ListNode]) -> Optional[ListNode]:
# 如果链表为空或只有一个节点,直接返回
if not head:
return head
# odd 指针初始化为第一个节点(奇数位置)
odd = head
# even_head 是偶数头节点,用于后面连接
even_head = head.next
# even 指针初始化为第二个节点(偶数位置)
even = even_head
# 循环条件:偶数节点和它的下一个节点都存在
while even and even.next:
# 将 odd 的 next 指向下一个奇数节点
odd.next = even.next
odd = odd.next # odd 向前移动一位
# 将 even 的 next 指向下一个偶数节点
even.next = odd.next
even = even.next # even 向前移动一位
# 将奇数链表尾部连接上偶数链表头部
odd.next = even_head
# 返回重新排列后的链表头
return headjavascript
const oddEvenList = function(head) {
// 如果链表为空或只有一个节点,直接返回
if (!head) return head;
// odd 指针初始化为第一个节点(奇数位置)
odd = head;
// even_head 是偶数头节点,用于后面连接
even_head = head.next;
// even 指针初始化为第二个节点(偶数位置)
even = even_head;
// 循环条件:偶数节点和它的下一个节点都存在
while (even && even.next) {
// 将 odd 的 next 指向下一个奇数节点
odd.next = even.next;
// odd 向前移动一位
odd = odd.next;
// 将 even 的 next 指向下一个偶数节点
even.next = odd.next;
// even 向前移动一位
even = even.next;
}
// 将奇数链表尾部连接上偶数链表头部
odd.next = even_head;
// 返回重新排列后的链表头
return head;
};复杂度分析
时间复杂度:O(n)
空间复杂度:O(1)