110. 平衡二叉树 Easy
给定一个二叉树,判断它是否是 平衡二叉树
平衡二叉树 是指该树所有节点的左右子树的高度相差不超过 1
示例 1:
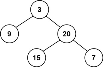
输入:root = [3,9,20,null,null,15,7]
输出:true

示例 2:
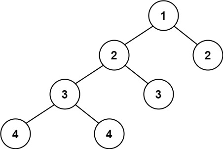
输入:root = [1,2,2,3,3,null,null,4,4]
输出:false

示例 3:
输入:root = []
输出:true
解题思路
输入:一个二叉树的根节点 root
输出:判断这棵树是否是平衡二叉树
本题属于自底向上 DFS问题。
我们可以将问题拆解成以下几步:
- 递归计算每棵子树的高度:
max(left_height, right_height) + 1。 - 如果某棵子树的左右子树高度差大于 1,则说明这棵树不平衡,返回
-1表示不平衡。 - 在递归入口处,先判断返回值是否为
-1,如果是,则立即退出并返回-1传递给上层调用。 - 只有当所有子树都是平衡的,才最终返回它们的高度,保证整棵树平衡。
这样我们就能高效地判断整棵树是否平衡,并且一旦发现不平衡就可以提前剪枝,避免重复计算。
代码实现
python
class Solution:
def isBalanced(self, root: Optional[TreeNode]) -> bool:
"""
判断一棵二叉树是否平衡二叉树
平衡二叉树:任意节点的左右子树高度差不超过 1
"""
def get_height(node):
"""
计算树的高度,同时判断是否平衡
返回值:
- 如果子树平衡,则返回其高度
- 如果子树不平衡,则返回 -1
"""
if node is None:
return 0 # 空树高度为0
# 递归获取左子树高度
left_height = get_height(node.left)
# 如果左子树已经不平衡,则整棵树也不平衡
if left_height == -1:
return -1
# 递归获取右子树高度
right_height = get_height(node.right)
# 如果右子树不平衡,或者左右子树高度差超过1,则当前子树也不平衡
if right_height == -1 or abs(left_height - right_height) > 1:
return -1
# 返回当前子树的高度
return max(left_height, right_height) + 1
# 判断整棵树是否平衡
return get_height(root) != -1javascript
/**
* @param {TreeNode} root
* @return {boolean}
*/
var isBalanced = function(root) {
function getHeight(node) {
if (!node) return 0;
const leftHeight = getHeight(node.left);
if (leftHeight == -1) return -1;
const rightHeight = getHeight(node.right);
if (rightHeight == -1 || Math.abs(leftHeight - rightHeight) > 1) {
return -1;
}
return Math.max(leftHeight, rightHeight) + 1;
}
return getHeight(root) !== -1;
};复杂度分析
时间复杂度:O(n)
空间复杂度:O(h)