112. 路径总和 Easy
给你二叉树的根节点 root 和一个表示目标和的整数 targetSum。判断该树中是否存在 根节点到叶子节点 的路径,这条路径上所有节点值相加等于目标和 targetSum。如果存在,返回 true ;否则,返回 false 。
叶子节点 是指没有子节点的节点。

示例 1:
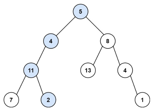
输入:root = [5,4,8,11,null,13,4,7,2,null,null,null,1], targetSum = 22
输出:true
解释:等于目标和的根节点到叶节点路径如上图所示。

示例 2:
输入:root = [1,2,3], targetSum = 5
输出:false
解释:树中存在两条根节点到叶子节点的路径:
(1 --> 2): 和为 3
(1 --> 3): 和为 4
不存在 sum = 5 的根节点到叶子节点的路径。
解题思路
输入: 一个二叉树的根节点 root,以及一个整数 targetSum,表示目标路径和。
输出: 判断是否存在一条从根节点到叶子节点的路径,使得沿途节点值之和恰好等于 targetSum。
本题属于自顶向下 DFS + 减法累加问题。
我们从根节点开始遍历,在每次递归时,将当前节点的值从 targetSum 中减去,表示“当前这条路径已经消耗了多少目标和”。
- 如果当前节点是 叶子节点,则判断当前节点值是否等于剩余的
targetSum; - 否则,递归判断左右子树,只要有一条路径成立,就返回
True。
本质上,这道题的关键在于:将目标和在路径上不断减去节点值,直到叶子节点处判断是否正好为 0。
代码实现
python
class Solution:
def hasPathSum(self, root: Optional[TreeNode], targetSum: int) -> bool:
# 如果当前节点为空,直接返回 False
if not root:
return False
# 如果当前节点是叶子节点,检查路径和是否刚好等于 targetSum
if not root.left and not root.right:
return root.val == targetSum
# 否则,递归检查左右子树,更新目标值为 targetSum - 当前节点值
new_target = targetSum - root.val
return (
self.hasPathSum(root.left, new_target) or
self.hasPathSum(root.right, new_target)
)javascript
var hasPathSum = function(root, targetSum) {
// 如果当前节点为空,直接返回 False
if (!root) return false;
// 如果当前节点是叶子节点,检查路径和是否刚好等于 targetSum
if (!root.left && !root.right) {
return root.val == targetSum;
}
// 否则,递归检查左右子树,更新目标值为 targetSum - 当前节点值
targetSum -= root.val;
return hasPathSum(root.left, targetSum) || hasPathSum(root.right, targetSum)
};复杂度分析
时间复杂度:O(n)
空间复杂度:O(h)