98. 验证二叉搜索树 Medium
给你一个二叉树的根节点 root ,判断其是否是一个有效的二叉搜索树。
有效 二叉搜索树定义如下:
- 节点的左子树只包含 小于 当前节点的数。
- 节点的右子树只包含 大于 当前节点的数。
- 所有左子树和右子树自身必须也是二叉搜索树。
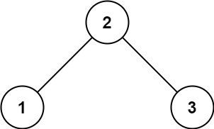
示例 1:
输入:root = [2,1,3]
输出:true

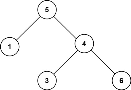
示例 2:
输入:root = [5,1,4,null,null,3,6]
输出:false
解释:根节点的值是 5 ,但是右子节点的值是 4

解题思路
输入:一个二叉树的根节点 root
输出:判断是否是二叉搜索树
本题属于自顶向下的 DFS问题。
解题思路
输入:一个二叉树的根节点 root输出:判断这棵树是否是一个有效的二叉搜索树(BST)
本题属于自顶向下的 DFS问题。
我们可以通过递归方式向下传递每个节点的合法取值区间(左界和右界),判断当前节点值是否在合法范围内:
- 对于每个节点,要求:左子树所有节点值必须严格小于当前节点值,右子树所有节点值必须严格大于当前节点值。
- 如果节点值不在合法区间,则直接返回 False,说明不是 BST。
- 递归检查左右子树时,更新左右界限:
- 左子树的上界为当前节点值
- 右子树的下界为当前节点值
代码实现
python
class Solution:
def isValidBST(self, root: Optional[TreeNode]) -> bool:
"""
判断一棵二叉树是否是有效的二叉搜索树(BST)
思路:利用区间范围限制,递归判断每个节点是否符合 BST 的定义
"""
def dfs(node, left, right):
"""
深度优先遍历(递归)
node: 当前节点
left: 当前节点值的下界(必须大于)
right: 当前节点值的上界(必须小于)
"""
if not node:
return True # 空节点默认有效
# 如果当前节点的值不在 (left, right) 区间内,则不是 BST
if not (left < node.val < right):
return False
# 检查左子树,左子树的上界是当前节点的值
isLeftValid = dfs(node.left, left, node.val)
if not isLeftValid:
return False
# 检查右子树,右子树的下界是当前节点的值
isRightValid = dfs(node.right, node.val, right)
if not isRightValid:
return False
# 左右子树都合法,返回 True
return True
# 初始调用,左界为负无穷,右界为正无穷
return dfs(root, float('-inf'), float('inf'))javascript
/**
* @param {TreeNode} root
* @return {boolean}
*/
var isValidBST = function(root) {
function dfs(node, left, right) {
if (!node) return true;
if (node.val <= left || node.val >= right) {
return false;
}
const isLeftValid = dfs(node.left, left, node.val);
if (!isLeftValid) return false;
const isRightValid = dfs(node.right, node.val, right);
return isRightValid;
}
return dfs(root, -Infinity, Infinity);
};复杂度分析
时间复杂度:O(n)
空间复杂度:O(h)