145. 二叉树的后序遍历 Easy
给你二叉树的根节点 root ,返回它节点值的 后序 遍历。

示例 1:
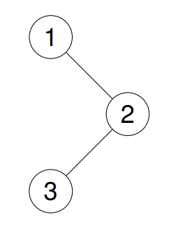
输入:root = [1,null,2,3]
输出:[3,2,1]

示例 2:
输入:root = [1,2,3,4,5,null,8,null,null,6,7,9]
输出:[4,6,7,5,2,9,8,3,1]
示例 3:
输入:root = []
输出:[]
解题思路
输入: 一个二叉树的根节点 root。
输出: 返回节点值的后序遍历。
本题属于遍历二叉树问题。
前序遍历的访问顺序是:左子树 → 右子树 → 根节点
我们可以通过定义一个递归的深度优先遍历函数 dfs,在递归遍历右子树后记录当前节点的值,从而实现后序遍历。
代码实现
python
class Solution:
def postorderTraversal(self, root: Optional[TreeNode]) -> List[int]:
# 用于存储遍历结果
res = []
# 定义递归函数,执行前序遍历:根 -> 左 -> 右
def dfs(node: Optional[TreeNode]):
if node is None:
return
dfs(node.left) # 递归遍历左子树
dfs(node.right) # 递归遍历右子树
res.append(node.val) # 记录当前节点
# 从根节点开始遍历
dfs(root)
return resjavascript
const postorderTraversal = function(root) {
// 用于存储遍历结果
const res = [];
// 定义递归函数,执行前序遍历:根 -> 左 -> 右
function dfs(node) {
if (!node) return;
// 递归遍历左子树
dfs(node.left);
// 递归遍历右子树
dfs(node.right);
// 记录当前节点
res.push(node.val);
}
// 从根节点开始遍历
dfs(root);
return res;
};复杂度分析
时间复杂度:O(n)
空间复杂度:O(h),h 为树的高度