102. 二叉树的层序遍历 Medium
给你二叉树的根节点 root ,返回其节点值的 层序遍历 。 (即逐层地,从左到右访问所有节点)。

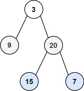
示例 1:
输入:root = [3,9,20,null,null,15,7]
输出:[[3],[9,20],[15,7]]
示例 2:
输入:root = [1]
输出:[[1]]
示例 3:
输入:root = []
输出:[]
解题思路
输入: 一个二叉树的根节点 root。
输出: 返回节点值的 层序遍历。
本题属于遍历二叉树问题,典型的 广度优先搜索(BFS),也称为 层序遍历。
- 我们使用一个队列(Queue),按“从左到右、从上到下”的顺序逐层遍历节点:
- 每次从队列中取出当前层的所有节点
- 依次访问这些节点,记录它们的值
- 将它们的左子节点和右子节点加入队列
- 重复此过程,直到队列为空
代码实现
python
class Solution:
def levelOrder(self, root: Optional[TreeNode]) -> List[List[int]]:
# 空树处理
if not root:
return []
res = [] # 用于存储每一层的遍历结果
queue = [root] # 使用队列作为 BFS 队列,初始放入根节点
while queue:
level = [] # 存放当前层的节点值
level_size = len(queue) # 当前层的节点个数
for _ in range(level_size):
node = queue.pop(0) # 弹出队头节点(当前层)
level.append(node.val) # 记录节点的值
# 将下一层节点加入队列
if node.left:
queue.append(node.left)
if node.right:
queue.append(node.right)
res.append(level) # 当前层遍历完,加入结果列表
return resjavascript
const levelOrder = function(root) {
// 空树处理
if (!root) return [];
// 用于存储每一层的遍历结果
const res = [];
// 使用队列作为 BFS 队列,初始放入根节点
const queue = [root];
while (queue.length) {
// 存放当前层的节点值
const levels = [];
// 当前层的节点个数
const size = queue.length;
for (let i = 0; i < size; i++) {
// 弹出队头节点(当前层)
const node = queue.shift();
// 记录节点的值
levels.push(node.val);
// 将下一层节点加入队列
if (node.left) {
queue.push(node.left);
}
// 注意这里不能用 else if 因为这里是独立的逻辑
if (node.right) {
queue.push(node.right);
}
}
// 当前层遍历完,加入结果列表
res.push(levels);
}
return res;
};复杂度分析
时间复杂度:O(n)
空间复杂度:O(n)