108. 将有序数组转换为二叉搜索树 Easy
给你一个整数数组 nums ,其中元素已经按 升序 排列,请你将其转换为一棵 平衡 二叉搜索树。

示例 1:
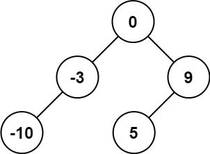
输入:nums = [-10,-3,0,5,9]
输出:[0,-3,9,-10,null,5]
解释:[0,-10,5,null,-3,null,9] 也将被视为正确答案:

示例 2:
输入:nums = [1,3]
输出:[3,1]
解释:[1,null,3] 和 [3,1] 都是高度平衡二叉搜索树。

解题思路
输入: 一个排好序的整数数组 nums
输出: 转成一颗平衡二叉搜索树
本题属于二叉搜索树问题。
平衡二叉搜索树的性质:
- 左子树所有节点值 < 根节点值
- 右子树所有节点值 > 根节点值
- 左右子树高度差不超过 1
有序数组直接取中点作为根节点,能保证左右元素数量差 ≤ 1,因此天然平衡。
递归拆分区间 [l, r],中点做根,左右区间继续递归构造左右子树。
代码实现
python
class Solution:
def sortedArrayToBST(self, nums: List[int]) -> Optional[TreeNode]:
# 递归函数:根据数组区间 [l, r] 构建平衡二叉搜索树
def build(l, r):
# 当左指针大于右指针时,说明区间无效,返回空节点
if l > r:
return None
# 取中间位置作为根节点(保证左右子树节点数尽量接近)
mid = (l + r) // 2
# 创建当前根节点
root = TreeNode(nums[mid])
# 递归构建左子树:使用左半部分数组
root.left = build(l, mid - 1)
# 递归构建右子树:使用右半部分数组
root.right = build(mid + 1, r)
# 返回当前构建好的子树根节点
return root
# 从整个数组区间开始构建
return build(0, len(nums) - 1)javascript
var sortedArrayToBST = function(nums) {
function build(l, r) {
if (l > r) return null;
const mid = Math.floor((l + r) / 2);
const root = new TreeNode(nums[mid]);
root.left = build(l, mid - 1);
root.right = build(mid + 1, r);
return root;
}
return build(0, nums.length -1);
};复杂度分析
时间复杂度:O(n)
空间复杂度:O(nlogn)