530. 二叉搜索树的最小绝对差 Easy
给你一个二叉搜索树的根节点 root ,返回 树中任意两不同节点值之间的最小差值 。
差值是一个正数,其数值等于两值之差的绝对值。
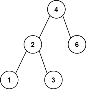
示例 1:
输入:root = [4,2,6,1,3]
输出:1

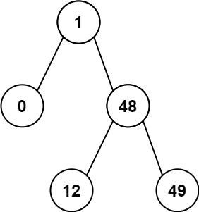
示例 2:
输入:root = [1,0,48,null,null,12,49]
输出:1

解题思路
输入:二叉搜索树的根节点 root
输出:返回任意两个节点的最小绝对值之差。
这道题是一个 二叉搜索树遍历 + 中序遍历 问题。
根据二叉搜索树的特点,我可以利用中序遍历得到一个递增的顺序
在这个递增的顺序中我们就可以一步步比较相邻节点的差值,记录最小值得到答案
代码实现
python
class Solution:
def getMinimumDifference(self, root: Optional[TreeNode]) -> int:
prev = None # 记录上一个访问的节点(中序遍历的前一个节点)
ans = float('inf') # 初始化最小差值为无穷大
# 中序遍历,利用BST的有序性
def dfs(node):
nonlocal ans, prev
if not node:
return
# 遍历左子树
dfs(node.left)
# 当前节点与前一个节点的值差值更新最小值
if prev is not None:
ans = min(ans, node.val - prev.val)
prev = node # 更新前一个节点
# 遍历右子树
dfs(node.right)
dfs(root)
return ansjavascript
/**
* @param {TreeNode} root
* @return {number}
*/
var getMinimumDifference = function(root) {
let ans = Infinity;
let prev = null;
function dfs(node) {
if (!node) return;
dfs(node.left)
if (prev != null)
ans = Math.min(ans, node.val - prev.val)
prev = node
dfs(node.right)
}
dfs(root);
return ans;
};复杂度分析
时间复杂度:O(n)
空间复杂度:O(h)