82. 删除排序链表中的重复元素 II Medium
给定一个已排序的链表的头 head , 删除原始链表中所有重复数字的节点,只留下不同的数字 。返回 已排序的链表 。
示例 1:
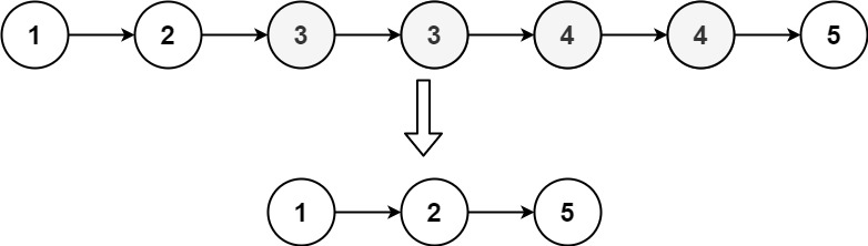
输入:head = [1,2,3,3,4,4,5]
输出:[1,2,5]

示例 2:
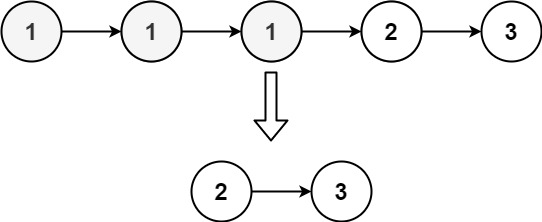
输入:head = [1,1,1,2,3]
输出:[2,3]

解题思路
输入: 一个链表 head
输出: 删除表中重复数字的节点,只留下没有重复过的节点
本题属于链表删除类问题。
这题需要删除所有重复数字的节点,为了处理头节点也可能被删除的情况,使用一个 哑节点 dummy,它指向链表头部
我们用两个指针:
prev:指向最后一个确认不会被删除的节点curr:从头开始遍历链表,检查是否有重复
详细步骤
- 初始化:
- 创建哑节点
dummy,并让dummy.next = head - 定义
prev = dummy,curr = head
- 创建哑节点
- 开始遍历链表:
- 如果
curr.val == curr.next.val:- 说明遇到重复节点
- 记录重复值
dup_val = curr.val - 用
while循环跳过所有值等于dup_val的节点,即curr = curr.next - 把
prev.next = curr,即跳过这段重复节点
- 否则:
- 当前节点不是重复节点,移动
prev和curr指针到下一位
- 当前节点不是重复节点,移动
- 如果
- 最后返回
dummy.next,即新链表的头部。
代码实现
python
class Solution:
def deleteDuplicates(self, head: Optional[ListNode]) -> Optional[ListNode]:
# 创建哑节点 dummy,便于处理头节点也被删除的情况
dummy = ListNode(0)
dummy.next = head
prev = dummy # 指向最后一个确定不重复的节点
curr = head # 当前遍历的节点
while curr and curr.next:
if curr.val == curr.next.val:
# 记录重复值
dup_val = curr.val
# 跳过所有重复值节点
while curr and curr.val == dup_val:
curr = curr.next
# prev 直接指向第一个不重复节点
prev.next = curr
else:
# 没有重复,prev、curr 同步向前移动
prev = curr
curr = curr.next
return dummy.nextjavascript
/**
* @param {ListNode} head
* @return {ListNode}
*/
var deleteDuplicates = function(head) {
const dummy = new ListNode(null, head);
let prev = dummy;
let curr = head;
while (curr && curr.next) {
if (curr.val === curr.next.val) {
const val = curr.val;
while (curr && curr.val == val) {
curr = curr.next;
}
prev.next = curr;
} else {
prev = curr;
curr = curr.next;
}
}
return dummy.next;
};复杂度分析
时间复杂度:O(n)
空间复杂度:O(1)