203. 移除链表元素 Easy
给你一个链表的头节点 head 和一个整数 val ,请你删除链表中所有满足 Node.val == val 的节点,并返回 新的头节点 。

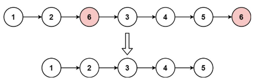
示例 1:
输入:head = [1,2,6,3,4,5,6], val = 6
输出:[1,2,3,4,5]
示例 2:
输入:head = [], val = 1
输出:[]
示例 3:
输入:head = [7,7,7,7], val = 7
输出:[]
解题思路
输入: 一个链表 head,一个整数 val
输出: 删除链表中所有值等于 val 的节点,并返回新的头节点
本题属于链表删除类问题。关键在于处理删除节点,尤其是头节点也可能被删除的情况。
为简化操作,我们引入一个哨兵节点 dummy,并令其指向原链表头部(dummy.next = head)。这样,无论头节点是否被删除,操作逻辑都能统一处理,无需特殊判断。
接着使用两个指针:
curr指向当前遍历的节点(从head开始);prev指向curr的前一个节点(初始为dummy)。
遍历过程中:
- 若
curr.val == val,则将prev.next指向curr.next,从链表中跳过该节点; - 否则,说明当前节点保留,更新
prev = curr; - 无论如何,
curr每轮都向前推进。
最终返回 dummy.next 作为新链表头,因为原 head 有可能被删除。
代码实现
python
class Solution:
def removeElements(self, head: Optional[ListNode], val: int) -> Optional[ListNode]:
# 创建一个哨兵节点 dummy,next 指向原始链表头部
dummy = ListNode(next=head)
# prev 是当前节点的前一个节点,curr 是当前遍历的节点
prev = dummy
curr = head
# 遍历整个链表
while curr:
if curr.val == val:
# 当前节点值等于目标值,删除:prev 跳过 curr
prev.next = curr.next
else:
# 否则保留当前节点,prev 向前移动
prev = curr
# curr 始终向前推进
curr = curr.next
# 返回去掉目标值节点后的链表头部(dummy 的下一个节点)
return dummy.nextjavascript
const removeElements = function(head, val) {
// 创建一个哨兵节点 dummy,next 指向原始链表头部
const dummy = new ListNode(null, head);
// prev 是当前节点的前一个节点,curr 是当前遍历的节点
let prev = dummy;
let curr = head;
// 遍历整个链表
while (curr != null) {
if (curr.val == val) {
// 当前节点值等于目标值,删除:prev 跳过 curr
prev.next = curr.next;
} else {
// 否则保留当前节点,prev 向前移动
prev = curr;
}
// curr 始终向前推进
curr = curr.next;
}
// 返回去掉目标值节点后的链表头部(dummy 的下一个节点)
return dummy.next;
};复杂度分析
时间复杂度:O(n)
空间复杂度:O(1)