988. 从叶结点开始的最小字符串 Medium
给定一颗根结点为 root 的二叉树,树中的每一个结点都有一个 [0, 25] 范围内的值,分别代表字母 'a' 到 'z'。
返回 按字典序最小 的字符串,该字符串从这棵树的一个叶结点开始,到根结点结束。
注:字符串中任何较短的前缀在 字典序上 都是 较小 的:
例如,在字典序上 "ab" 比 "aba" 要小。叶结点是指没有子结点的结点。
节点的叶节点是没有子节点的节点。
示例 1:
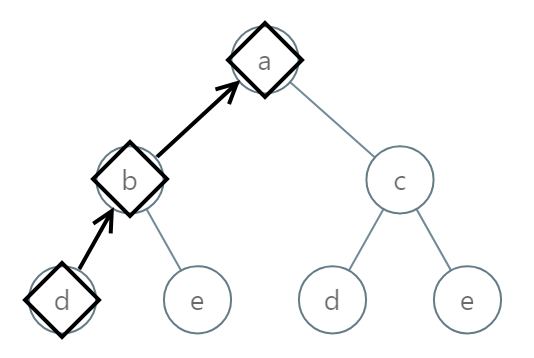
输入:root = [0,1,2,3,4,3,4]. 输出:"dba"

示例 2:
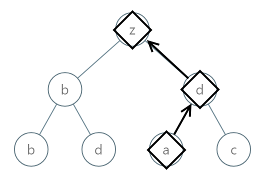
输入:root = [25,1,3,1,3,0,2]. 输出:"adz"

示例 3:
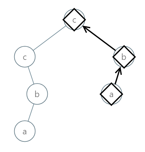
输入:root = [2,2,1,null,1,0,null,0]. 输出:"abc"

解题思路
输入: 一个二叉树的根节点 root。
输出: 从叶子结点到根节点组成一个字符串,返回按字典序最小的字符串
本题属于自顶向下 DFS问题。
我们可以在 dfs 遍历的时候将上一次组成的字符串传递下去,最终到达叶子结点的时候组成了完整的字符串
最终返回左右子树组成的字符串更小的那个,如果有一个子树返回空则说明没有子树,直接返回非空子树的结果
代码实现
python
class Solution:
def smallestFromLeaf(self, root: Optional[TreeNode]) -> str:
def dfs(node, path):
if not node:
return None # 空节点不构成字符串
# 将当前节点的值转换为对应字符(0 -> 'a', 1 -> 'b', ..., 25 -> 'z')
current_char = chr(ord('a') + node.val)
path = current_char + path # 由于是从叶子到根,字符放在前面
# 如果是叶子节点,直接返回当前路径字符串
if not node.left and not node.right:
return path
# 递归左子树和右子树
left = dfs(node.left, path)
right = dfs(node.right, path)
# 选择字典序更小的非空字符串返回
if left and right:
return min(left, right)
return left or right # 其中一个为空则返回另一个
return dfs(root, "")javascript
/**
* @param {TreeNode} root
* @return {string}
*/
var smallestFromLeaf = function(root) {
function dfs(node, path) {
if (!node) return;
const currentChar = String.fromCharCode('a'.charCodeAt(0) + node.val);
const currentPath = currentChar + path;
if (!node.left && !node.right) {
return currentPath;
}
const left = dfs(node.left, currentPath);
const right = dfs(node.right, currentPath);
if (left && right)
return left < right ? left : right;
return left || right;
}
return dfs(root, "");
};复杂度分析
时间复杂度:O(n)
空间复杂度:O(h),h 为树的高度