199. 二叉树的右视图 Medium
给定一个二叉树的 根节点 root,想象自己站在它的右侧,按照从顶部到底部的顺序,返回从右侧所能看到的节点值。
示例 1:
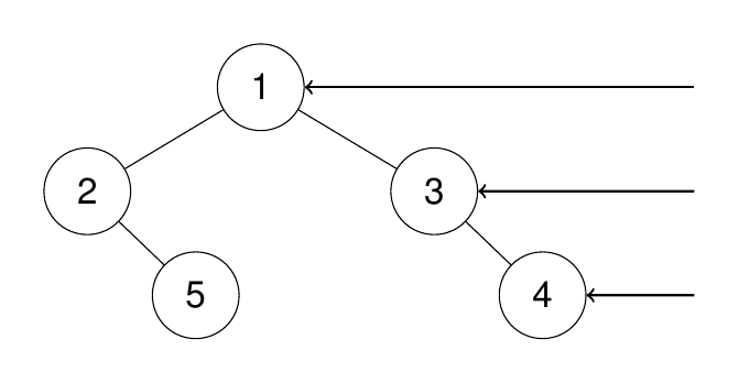
输入:root = [1,2,3,null,5,null,4]
输出:[1,3,4]

示例 2:
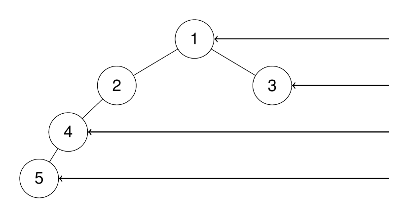
输入:root = [1,2,3,4,null,null,null,5]
输出:[1,3,4,5]

示例 3:
输入:root = [1,null,3]
输出:[1,3]
示例 4:
输入:root = []
输出:[]
解题思路
输入:一个二叉树的根节点 root
输出:返回这棵树的右视图(每层最右边的节点)
本题属于自顶向下的 DFS问题。
要获取一棵树的右视图,可以采用先遍历右子树的顺序。我们利用一个列表来存储每一层最先到达的节点(最右边的节点)。遍历过程中:
- 如果当前深度等于结果列表的长度,说明是该层第一个访问到的节点(即最右边的节点),将其加入结果中。
- 先递归遍历右子树,再递归遍历左子树,这样可以确保先记录右侧的节点。
这样可以保证每层第一个被访问到的节点就是右视图看到的节点。
代码实现
python
class Solution:
def rightSideView(self, root: Optional[TreeNode]) -> List[int]:
"""
返回二叉树的右视图
思路:DFS,优先遍历右子树,每层只记录最先访问到的节点
"""
ans = [] # 存储每一层最右边的节点
def dfs(node, depth):
"""
深度优先遍历二叉树
node: 当前节点
depth: 当前深度(从0开始)
"""
if not node:
return # 空节点直接返回
# 如果当前深度和结果列表长度相等,说明这是该层第一个访问到的节点(最右边)
if depth == len(ans):
ans.append(node.val)
# 先遍历右子树,再遍历左子树
dfs(node.right, depth + 1)
dfs(node.left, depth + 1)
dfs(root, 0)
return ansjavascript
/**
* @param {TreeNode} root
* @return {number[]}
*/
var rightSideView = function(root) {
const ans = [];
function dfs(node, depth) {
if (!node) return;
if (depth == ans.length) {
ans.push(node.val);
}
dfs(node.right, depth + 1);
dfs(node.left, depth + 1);
}
dfs(root, 0);
return ans;
};复杂度分析
时间复杂度:O(n)
空间复杂度:O(h)