226. 翻转二叉树 Easy
给你一棵二叉树的根节点 root ,翻转这棵二叉树,并返回其根节点。
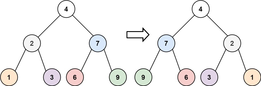
示例 1:
输入:root = [4,2,7,1,3,6,9]
输出:[4,7,2,9,6,3,1]

示例 2:
输入:root = [2,1,3]
输出:[2,3,1]

示例 3:
输入:root = []
输出:[]
解题思路
输入: 一个二叉树的根节点 root。
输出: 翻转这棵二叉树返回根节点
本题属于翻转二叉树问题。
我们可以用 dfs 递归处理二叉树的每个节点
对当前节点执行左右子树交换,然后递归处理左右子节点。
根节点不变,但内部结构已被修改,因此直接返回 root 即可。
代码实现
python
class Solution:
def invertTree(self, root: Optional[TreeNode]) -> Optional[TreeNode]:
def dfs(node):
# 🛑 递归终止条件:节点为空则直接返回
if not node:
return
# 🔁 交换当前节点的左右子节点
node.left, node.right = node.right, node.left
# ⬇️ 递归翻转左右子树
dfs(node.left)
dfs(node.right)
# 🚀 从根节点开始递归翻转整棵树
dfs(root)
# ✅ 返回翻转后的根节点
return rootjavascript
var invertTree = function(root) {
function dfs(node) {
if (!node) return;
[node.left, node.right] = [node.right, node.left]
dfs(node.left)
dfs(node.right)
}
dfs(root)
return root;
};复杂度分析
时间复杂度:O(n)
空间复杂度:O(h)