700. 二叉搜索树中的搜索 Easy
给定二叉搜索树(BST)的根节点 root 和一个整数值 val。
你需要在 BST 中找到节点值等于 val 的节点。 返回以该节点为根的子树。 如果节点不存在,则返回 null 。
示例 1:
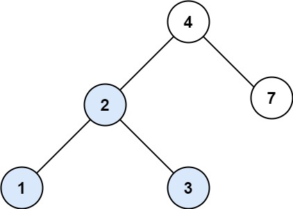
输入:root = [4,2,7,1,3], val = 2
输出:[2,1,3]

示例 2:
输入:root = [4,2,7,1,3], val = 5
输出:[]

解题思路
输入:二叉搜索树的根节点 root,一个整数 val
输出:找到值为 val 的节点并返回。
这道题是一个 二叉搜索树遍历 问题。
根据二叉搜索树的特点,当发现值比节点值小则说明在左子树,直接返回左子树遍历结果
当发现值比节点值大则说明在右子树,直接返回右子树遍历结果
直到找到值相等的节点为止,如果找到空结点还没找到,则说明不存在直接返回空节点
代码实现
python
class Solution:
def searchBST(self, root: Optional[TreeNode], val: int) -> Optional[TreeNode]:
# 在二叉搜索树中查找值为 val 的节点,返回该节点为根的子树
def dfs(node, val):
if not node:
return None # 空节点,说明没找到
if val < node.val:
# 要找的值比当前节点小,去左子树查找
return dfs(node.left, val)
elif val > node.val:
# 要找的值比当前节点大,去右子树查找
return dfs(node.right, val)
else:
# 找到了值等于 val 的节点
return node
return dfs(root, val)javascript
/**
* @param {TreeNode} root
* @param {number} val
* @return {TreeNode}
*/
var searchBST = function(root, val) {
function dfs(node, val) {
if (!node) return node;
if (val < node.val)
return dfs(node.left, val);
if (val > node.val)
return dfs(node.right, val)
return node;
}
return dfs(root, val);
};复杂度分析
时间复杂度:O(n)
空间复杂度:O(h)