104. 二叉树的最大深度 Easy
给定一个二叉树 root ,返回其最大深度。
二叉树的 最大深度 是指从根节点到最远叶子节点的最长路径上的节点数。

示例 1:
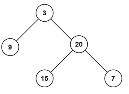
输入:root = [3,9,20,null,null,15,7]
输出:3
示例 2:
输入:root = [1,null,2]
输出:2
解题思路
输入: 一个二叉树的根节点 root。
输出: 返回最大深度
本题可以用自底向上 DFS(后序遍历) 也可以用 自顶向下 DFS 解决。
我们使用递归来计算每个节点的最大深度,其核心逻辑是:
- 对于每个节点,它的最大深度 =
max(左子树深度, 右子树深度) + 1 - 空节点返回深度 0(递归终止条件)
- 从叶子节点开始逐层向上返回深度,最终在根节点返回整棵树的最大深度
这是一种 后序遍历 (left → right → root) 的过程,递归地先处理子树,再汇总结果,最终得到整棵树的最大深度。
代码实现
自底向上 DFS
python
class Solution:
def maxDepth(self, root: Optional[TreeNode]) -> int:
# 如果当前节点为空,说明这是一棵空树,深度为 0
if not root:
return 0
# 否则,递归计算左右子树的最大深度,并取其中较大值加 1(当前节点本身)
return 1 + max(self.maxDepth(root.left), self.maxDepth(root.right))javascript
const maxDepth = function(root) {
// 如果当前节点为空,说明这是一棵空树,深度为 0
if (!root) return 0;
// 否则,递归计算左右子树的最大深度,并取其中较大值加 1(当前节点本身)
return Math.max(maxDepth(root.left), maxDepth(root.right)) + 1;
};自顶向下 DFS
python
class Solution:
def maxDepth(self, root: Optional[TreeNode]) -> int:
def dfs(node, depth):
if not node:
return depth
left = dfs(node.left, depth + 1)
right = dfs(node.right, depth + 1)
return max(left, right)
return dfs(root, 0)javascript
const maxDepth = function(root) {
function dfs(node, depth) {
if (!node) return depth;
const left = dfs(node.left, depth + 1);
const right = dfs(node.right, depth + 1);
return Math.max(left, right);
}
return dfs(root, 0);
};复杂度分析
时间复杂度:O(n)
空间复杂度:O(h)