1325. 删除给定值的叶子节点 Medium
给你一棵以 root 为根的二叉树和一个整数 target ,请你删除所有值为 target 的 叶子节点 。
注意,一旦删除值为 target 的叶子节点,它的父节点就可能变成叶子节点;如果新叶子节点的值恰好也是 target ,那么这个节点也应该被删除。
也就是说,你需要重复此过程直到不能继续删除。
示例 1:
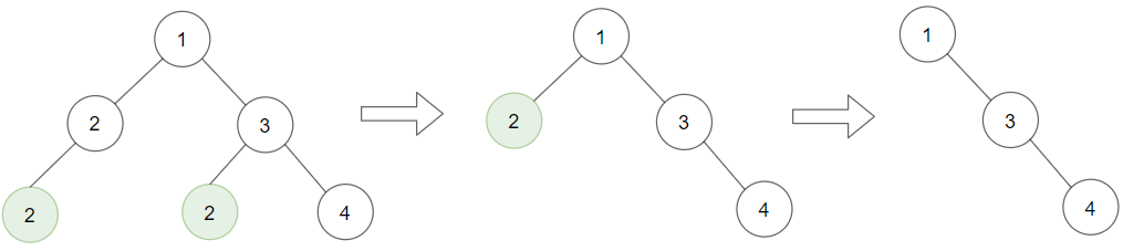
输入:root = [1,2,3,2,null,2,4], target = 2 输出:[1,null,3,null,4]
解释:
上面左边的图中,绿色节点为叶子节点,且它们的值与 target 相同(同为 2 ),它们会被删除,得到中间的图。
有一个新的节点变成了叶子节点且它的值与 target 相同,所以将再次进行删除,从而得到最右边的图。

示例 2:
输入:root = [1,3,3,3,2], target = 3
输出:[1,3,null,null,2]

示例 3:
输入:root = [1,2,null,2,null,2], target = 2
输出:[1]
解释:每一步都删除一个绿色的叶子节点(值为 2)。

解题思路
输入: 一个二叉树的根节点 root。
输出: 返回移除了所有不包含 target 的叶子节点的原二叉树。
本题属于自底向上 DFS + 剪枝问题。
这题与 814 题剪枝解法一样
对于每个节点:
- 递归处理左子树,删除值为
target的叶节点。 - 递归处理右子树,删除值为
target的叶节点。 - 检查当前节点是否为叶节点(左右子节点均为 None)且值等于
target: - 如果是,返回
None(删除当前节点)。 - 否则,返回当前节点(保留)。
因为递归执行顺序是向上递归的,所以我们会从子节点开始判断最后回到父节点再判断,从而做到从叶子结点处理到根节点的顺序
代码实现
python
class Solution:
def removeLeafNodes(self, root: Optional[TreeNode], target: int) -> Optional[TreeNode]:
def dfs(node):
if not node:
return None # 空节点直接返回
# 递归处理左右子树
node.left = dfs(node.left)
node.right = dfs(node.right)
# 如果当前节点是叶子节点,且值等于 target,则删除(返回 None)
if not node.left and not node.right and node.val == target:
return None
# 否则保留当前节点
return node
return dfs(root)javascript
/**
* @param {TreeNode} root
* @param {number} target
* @return {TreeNode}
*/
var removeLeafNodes = function(root, target) {
function dfs(node) {
if (!node) return null;
node.left = dfs(node.left);
node.right = dfs(node.right);
if (node.val == target && !node.left && !node.right)
return null;
return node;
}
return dfs(root);
};复杂度分析
时间复杂度:O(n)
空间复杂度:O(h),h 为树的高度