147. 对链表进行插入排序 Medium
给定单个链表的头 head ,使用 插入排序 对链表进行排序,并返回 排序后链表的头 。
插入排序 算法的步骤:
- 插入排序是迭代的,每次只移动一个元素,直到所有元素可以形成一个有序的输出列表。
- 每次迭代中,插入排序只从输入数据中移除一个待排序的元素,找到它在序列中适当的位置,并将其插入。
- 重复直到所有输入数据插入完为止。
下面是插入排序算法的一个图形示例。部分排序的列表(黑色)最初只包含列表中的第一个元素。每次迭代时,从输入数据中删除一个元素(红色),并就地插入已排序的列表中。
对链表进行插入排序。

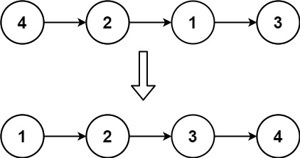
示例 1:
输入: head = [4,2,1,3]
输出: [1,2,3,4]

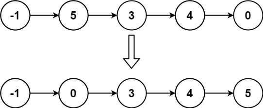
示例 2:
输入: head = [-1,5,3,4,0]
输出: [-1,0,3,4,5]

解题思路
输入: 一个链表 head
输出: 对链表进行插入排序操作并返回最终排序后的表头
本题属于链表插入与重排类问题。
我们需要用到一个 dummy 节点,在每次对一个元素排好序之后都会指向最新数组的头节点
我们在排序过程中需要记录当前节点的下一个节点 currNext = curr.next
每次都从 dummy 节点开始遍历,记录为 prev,直到找到 prev.next 比 curr.val 要大的节点就停下来将当前节点插入该位置中 prev -> curr -> prev.next
之后继续从 currNext 开始遍历
最后返回 dummy.next
代码实现
python
class Solution:
def insertionSortList(self, head: Optional[ListNode]) -> Optional[ListNode]:
# 创建一个哑节点 dummy,方便后续统一插入逻辑
dummy = ListNode(0)
# curr 表示当前需要插入排序链表的节点
curr = head
# 遍历原链表
while curr:
# 保存当前节点的下一个节点,以便下一轮处理
currNext = curr.next
# 从 dummy 开始寻找合适的插入位置(prev 是 curr 的前驱)
prev = dummy
while prev.next and prev.next.val < curr.val:
prev = prev.next # 向后移动,直到找到第一个大于等于 curr 的位置
# 完成插入:
# 先保存 prev 原来的 next
prevNext = prev.next
# 把 curr 插到 prev 和 prevNext 之间
prev.next = curr
curr.next = prevNext
# 继续处理原链表中的下一个节点
curr = currNext
# 返回排好序的链表头节点(dummy.next)
return dummy.nextjavascript
var insertionSortList = function(head) {
const dummy = new ListNode();
let curr = head;
while (curr != null) {
let prev = dummy;
const currNext = curr.next;
while (prev.next && prev.next.val < curr.val) {
prev = prev.next
}
prevNext = prev.next;
prev.next = curr;
curr.next = prevNext;
curr = currNext;
}
return dummy.next;
};复杂度分析
时间复杂度:O(n ^ 2)
空间复杂度:O(1)